Skip to content Skip to sidebar Skip to footer

Widget HTML #1

How To Put An Equation In Standard Form : T^ (2)y' + 2ty = y^ (3) next we divide by t^ (2) to on both sides of the equation so we can get it into standard form.

How To Put An Equation In Standard Form : T^ (2)y' + 2ty = y^ (3) next we divide by t^ (2) to on both sides of the equation so we can get it into standard form.. Ax + by = c cannot contain fractions or decimals! Standard form also has some distinct uses, but more on that later. Slope intercept form is y = mx + b. Standard form is ax + by = c. To write our standard form equation.

This form is also very useful when solving systems of two linear equations. The foci of the hyperbola are then located c spaces away from the center, where c ^2 = a ^2 + b ^2. There are four basic types: In the standard form of a linear equation, the a should be positive, so if you get it into standard form and the a is negative, multiply both sides of the equation by a negative to make it positive. If you are asked to write the equation in standard form, then you need to get rid of the fractions.

Ppt Objective Powerpoint Presentation Free Download Id 297925
Ppt Objective Powerpoint Presentation Free Download Id 297925 from image.slideserve.com
A horizontal ellipse is an ellipse which major axis is horizontal. The foci of the hyperbola are then located c spaces away from the center, where c ^2 = a ^2 + b ^2. This form is quite useful in creating an equation of a line if you're given the slope and a point on the line. In the standard form of a linear equation, the a should be positive, so if you get it into standard form and the a is negative, multiply both sides of the equation by a negative to make it positive. If you are asked to write the equation in standard form, then you need to get rid of the fractions. The foci are located in the same direction as the vertices. Convert ( y + 3) = − 3 4 ( x − 5) to standard form. Ax + by = c where a, b and c are integers (so no fractions).

Knowing how to write linear equations is an important steping stone on the road to becoming a master mathematician!

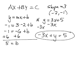
A horizontal ellipse is an ellipse which major axis is horizontal. Write the equation of the parabola 2 x2 + 8 x + y + 3 = 0 in standard form to determine its vertex and in which direction it opens. None of the intersections will pass through. Ax + by = c cannot contain fractions or decimals! Sketch in a circle that includes those points. Cut a piece of string longer than the distance between the two thumbtacks (the length of the string represents the constant in the definition). When an equation is given in this form, it's pretty easy to find both intercepts (x and y). This video looks at writing linear equations in standard form (ax + by = c). Knowing how to write linear equations is an important steping stone on the road to becoming a master mathematician! Standard form is ax + by = c. To convert from slope intercept form to standard form requires you to have x and y on the same side of the equation. The foci of the hyperbola are then located c spaces away from the center, where c ^2 = a ^2 + b ^2. In this tutorial, you'll practice using a slope and one point to write the equation of the line in standard form.

Standard form of a linear equation the standard form for writing down a linear equation is ax + by = c a shouldn't be negative, a and b shouldn't both be zero, and a, b and c should be integers. The standard form for linear equations in two variables is ax+by=c. This video looks at writing linear equations in standard form (ax + by = c). The whole number should be a multiple of both denominators (ideally it is the least common multiple). Sketch in a circle that includes those points.

Write Linear Equations In Standard Form Expii
Write Linear Equations In Standard Form Expii from d20khd7ddkh5ls.cloudfront.net
Standard form is ax + by = c. Sketch in a circle that includes those points. Convert ( y + 3) = − 3 4 ( x − 5) to standard form. For instance, point slope form makes it easy to find the line's equation when you only know the slope and a single point on the line. Y = − 2 3 x + 1 4 to clear fractions, you can multiply both sides of the equation by a whole number. Tack each end of the string to the cardboard, and trace a curve with a pencil held taut against the string. Ax + by = c. When given a linear equation in standard form, to graph the equation, we first rewrite the.

Ax + by = c cannot contain fractions or decimals!

Standard form also has some distinct uses, but more on that later. Conic sections and standard forms of equations a conic section is the intersection of a plane and a double right circular cone. Each one expresses the equation of a line, and each one has its own pros and cons. Write the equation of the line in standard form. Standard form of a linear equation the standard form for writing down a linear equation is ax + by = c a shouldn't be negative, a and b shouldn't both be zero, and a, b and c should be integers. Equations that are written in standard form: For instance, point slope form makes it easy to find the line's equation when you only know the slope and a single point on the line. We carry a huge amount of quality reference information on subjects starting from absolute value to polynomial The standard form of a linear equation is: The whole number should be a multiple of both denominators (ideally it is the least common multiple). Ax + by = c where a, b and c are integers (so no fractions). Write a linear equation in standard formfor more math shorts go to www.mathbyfives.com When given a linear equation in standard form, to graph the equation, we first rewrite the.

Move y 1 to the other side by adding its opposite to both sides of the equation and simplify. For example, 2x+3y=5 is a linear equation in standard form. None of the intersections will pass through. Tack each end of the string to the cardboard, and trace a curve with a pencil held taut against the string. In the standard form of a linear equation, the a should be positive, so if you get it into standard form and the a is negative, multiply both sides of the equation by a negative to make it positive.

Circles Equations Find The Missing Value To Complete The Square 6 X 2 2x 7 X 2 4x 8 X 2 6x Circles Warm Up Find The Missing Value To Complete Ppt Download
Circles Equations Find The Missing Value To Complete The Square 6 X 2 2x 7 X 2 4x 8 X 2 6x Circles Warm Up Find The Missing Value To Complete Ppt Download from images.slideplayer.com
When given a linear equation in standard form, to graph the equation, we first rewrite the. The result is an ellipse. The standard form of a linear equation is: Sketch in a circle that includes those points. Slope intercept form is y = mx + b. 👉 learn how to graph linear equations written in standard form. When an equation is given in this form, it's pretty easy to find both intercepts (x and y). Cut a piece of string longer than the distance between the two thumbtacks (the length of the string represents the constant in the definition).

For example, 2x+3y=5 is a linear equation in standard form.

Conic sections and standard forms of equations a conic section is the intersection of a plane and a double right circular cone. Write the equation of the line in standard form. The standard form of a linear equation is: This form is quite useful in creating an equation of a line if you're given the slope and a point on the line. The foci of the hyperbola are then located c spaces away from the center, where c ^2 = a ^2 + b ^2. The standard form for linear equations in two variables is ax+by=c. 👉 learn how to graph linear equations written in standard form. Sketch in a circle that includes those points. (a) comparing the given equation with the standard form of the equation of a parabola that opens upwards/downwards we get the following two relations: Write a linear equation in standard formfor more math shorts go to www.mathbyfives.com Ax + by = c cannot contain fractions or decimals! To write our standard form equation. A, b, and c must be integers!